ثابت پیچش تابیدگی با Cw نشان داده شده و دارای بُعد طول به توان شش (مثلاً سانتی متر به توان شش) است. این پارامتر معیاری برای تعیین مقدار مقاومت مقاطع در برابر پیچش غیر یکنواخت یا پیچش تابیدگی است.
پیچش غیر یکنواخت پیچشی است که در اعضای غیر مدور به دلیل عدم تقارن محوری تحت اثر لنگر پیچشی دچار آشفتگی خواهند شد و شکل سطح مقطع اولیه دستخوش تغییر میشود.
در مسائل مربوط به بحث پیچش:
- از ممان اینرسی قطبی (ثابت پیچش خالص) جهت تعیین پیچش در مقاطع گردِ توپر یا تو خالی استفاده میشود (در مقاطعی مثل قوطی و لوله که در آنها پیچش، تنش برشی ایجاد میکند).
- از پیچش تابیدگی در مقاطع باز و غیر گرد استفاده میشود (استفاده در مقاطعی مثل Z شکل، ناودانی و مقاطع I شکل که در آنها پیچش، تنش محوری ایجاد میکند).
پارامتر ثابت پیچش تابیدگی مقاطع فولادی نظیر I شکل، ناودانی، نبشی، سپری و به ویژه در مقاطع ستون دوبل و باکس کاربرد دارد. از این ضریب نیز همانند ثابت پیچشی j، برای تعیین مقاومت خمشی – کمانشی (LTB) مقطع تیرها و ظرفیت لنگر پیچشی مقطع ستونها استفاده میشود و برای کلیه مقاطع باز کاربرد دارد.
چرا ضریب ثابت تابیدگی در مقاطع ستون دوبل و باکس در طراحیها استفاده میشود؟
با توجه به عدم وجود نیمرخ مناسب به علت بزرگ بودن نیروهای وارده بر مقطع و یا عدم تولید مقاطع متنوع توسط کارخانه های نزدیک محل پروژه، طراحان مجبور به استفاده از نیمرخهای ترکیبی نظیر دوبل I و باکس (جعبهای) هستند. از آنجایی که این مقاطع ترکیبی معمولاً در جدول اشتایل وجود ندارند و نرم افزارهایی مانند ETABS در محاسبهی این ضریب دچار مشکل هستند؛ پس مهندس طراح بایستی با ثابت تابیدگی آشنا و قادر به محاسبهی ثابت تابیدگی برای انواع مقاطع رایج باشد.
مطلب پیشنهادی: اتصال به بتن با انکربولت
کاربرد ثابت پیچش تابیدگی (Cw) در طراحی
یکی از کاربرد های رایج ضریب ثابت تابیدگی که در طراحی سازه ها از آن استفاده می کنیم، کنترل فشردگی مقاطع لرزه ای و غیر لرزه ای می باشد.
در کارهای عمرانی مثال های متعددی از پیچش وجود دارد که برخی از آن ها عبارت اند از:
- تیرهایی که بار وارد بر آنها از مرکز برش تیر عبور نمیکند.
- تیرهای لبهای ساختمان که واکنش ناشی از بار دال سقف را فقط در یک طرف حمل میکند.
- تیرهای دو طرف بالکن که به صورت کنسول اجرا میشوند تحت بارهای دینامیکی شدید دچار پیچش میشوند.
- تیرهای جرثقیل که بر اثر ضربه جانبی جرثقیل به ریل لنگر پیچشی توأم با لنگر خمشی ایجاد میشود.
با توجه به موارد متعدد فوق آیین نامه های مختلف ساختمانی جهت طراحی مقاطع مختلف در چنین شرایطی (مقاطع تحت اثر پیچش) مجبور به در نظر گرفتن اثر پیچش (ثابت تابیدگی) در فرمول های طراحی به شرح زیر شدند.

1- در محاسبه ظرفیت فشاری برخی مقاطع
طبق بند 10-2-4-5، مبحث دهم مقررات ملی ساختمان ثابت تابیدگی (Cw) در تعیین مقاومت فشاری مقاطع بر اساس کمانش پیچشی و کمانش خمشی-پیچشی و در محاسبه تنش بحرانی Fcr طبق رابطه زیر مؤثر است:
Fcr: تنش فشاری ناشی از کمانش خمشی در مبحث دهم مقررات ملی ساختمان از روابط زیر به دست میآید.

2- در محاسبه ظرفیت خمشی مقاطع
الف: در مقاطع I شکل فشرده با دو محور تقارن و اعضای با مقطع ناودانی فشرده تحت خمش حول محور قوی و در تعیین حالت حدی کمانش پیچشی-جانبی طبق بند 10-2-5-2-ب مبحث دهم مقررات ملی ساختمان در محاسبه ثابت پیچش تابیدگی (Cw) کاربرد دارد.

rts شعاع ژیراسیون مؤثر مقطع است که طبق رابطه (10-2-5-9)، مبحث دهم مقررات ملی محاسبه میشود و به طور مستقیم در محاسبه طول مهار نشده عضو Lr طبق رابطه (10-2-5-7)، مبحث دهم مقررات ملی ساختمان که مرز بین حالت حدی کمانش پیچشی – جانبی غیر ارتجاعی و ارتجاعی است و در محاسبه Fcr تنش کمانش الاستیک پیچشی- جانبی طبق رابطه (10-2-8-5)، مبحث دهم مقررات ملی ساختمان تأثیرگذار است.
ب: در مقاطع I شکل فشرده با دو محور تقارن با بال های غیر فشرده و جان فشرده حول محور قوی در حالت کنترل حالت حدی کمانش پیچشی جانبی مشابه بند 10-2-5-2-ب مبحث دهم مقررات ملی ساختمان ثابت پیچش تابیدگی (Cw) کاربرد دارد.
نحوه محاسبه ثابت تابیدگی برای مقاطع مختلف
مطابق مبحث دهم مقررات ملی ساختمان ثابت تابیدگی از رابطه زیر برای مقاطع I شکل و با تقارن دو محوره به دست میآید و برای سایر مقاطع این رابطه بسط داده میشود.

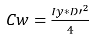
مقاطع I شکل:

مقاطع I شکل دوبل متقارن:
مقاطع I شکل دوبل با ورق تقویتی در جان:


مقاطع I دوبل با ورق تقویت بال:

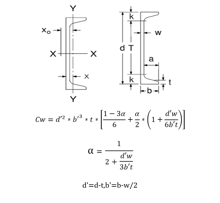
مقاطع تک ناودانی:

مقاطع ناودانی دوبل:
فرمول ثابت تابیدگی در مقاطع ناودانی دوبل نیز کاملاً مشابه مقاطع I دوبل میباشد:

مقطع تک نبشی:

نکته : برای نبشی دوبل این مقدار دو برابر خواهد شد.
